Voir 50 messages Voir 100 messages Voir tout le sujet

Babillard de sibira

Sujet d'actualité Au Québec l'accommodement raisonnable, un sujet d'actualité.
Répondre
sibira

[ Aucun rang ]
Avatar du membre
[ Aucun rang ]
Messages : 2047
Enregistré le : 28 juin18, 04:50
Réponses : 1

Re: relations contre intuitives mais vitales

Ecrit le 10 juin19, 03:16

Message par sibira »

Salut Le Glebeux

bah non non je ne t'en veux pas lol au contraire même:

déjà (et rien que ça) il n'y a pas des tonnes de gens sur mes sujets non plus

(sur le punk ou sur les maths)

________________________________
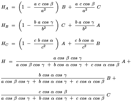
alors en projetant A sur BC on obtient une autre écriture de H_A

qui elle est beaucoup plus digeste

Image
Cliquer sur les images du lien pour agrandir https://mathsdunordest.blogspot.com/2020/04/

le glébeux

Christianisme [Unitarien]
Christianisme [Unitarien]
Messages : 644
Enregistré le : 16 févr.18, 13:12
Réponses : 0

Re: relations contre intuitives mais vitales

Ecrit le 10 juin19, 04:27

Message par le glébeux »

Faut dire aussi que les maths et le punk, sur un forum religieux.... tu le cherches un peu, non !? :lol:


Pour illustrer mon niveau, en maths comme en beaucoup de choses, je te propose une vidéo tirée de mon site :wink:

mon niveau intellectuel


Quant à mes goûts musicaux, ils sont assez loin du punk (face)

sibira

[ Aucun rang ]
Avatar du membre
[ Aucun rang ]
Messages : 2047
Enregistré le : 28 juin18, 04:50
Réponses : 1

Re: relations contre intuitives mais vitales

Ecrit le 10 juin19, 04:30

Message par sibira »

mais Le Glebeux le niveau intellectuel n'a rien à voir avec le niveau en maths

je suis très con pour la philo ET la science (Les maths ne sont pas une science )

le savoir vivre et communiquer sans tricher (ici on triche on ne se voit pas)

tu me vois marié? (rien que ça lol c'est à mourir de rire surtout pour elle et l'enfer qu'elle vivra)

tu me vois éduquer des enfants sans les maltraiter ? LOL

combien de tueurs en série sont bons en maths?

(il y en a une bonne pelletée)

etc...
Cliquer sur les images du lien pour agrandir https://mathsdunordest.blogspot.com/2020/04/

sibira

[ Aucun rang ]
Avatar du membre
[ Aucun rang ]
Messages : 2047
Enregistré le : 28 juin18, 04:50
Réponses : 1

ne pas confondre "bon en maths" et "intelligent"

Ecrit le 10 juin19, 05:05

Message par sibira »

À ce propos j'ai appris il y a une semaine que le "copain de ma nièce (alors que normalement il devrait déjà être marié depuis bien longtemps avec elle si on vivrait dans un monde normal) super bon en maths et en plus il bosse dans un super boulot qui utilise les maths et qui paye bien avait été suffisamment intelligent pour poster des photos de culs sur son téléphone entre lui et une fille sortie d'on ne sait où

ma nièce est tombée dessus par hasard et elle décide de rompre sauf qu'elle n'a aucun endroit où aller : ce type lui laisse jusqu'au mois de septembre pour trouver un endroit où dormir mais ceci dit elle trouvera elle a un bon boulot

Le mec est un imbécile fini (qui je l'espère finira psychopathe et tueur en série et violeur en série) alors quand j'entends dire que quand on est bon en maths on est intelligent franchement moi ça me fait rire
Cliquer sur les images du lien pour agrandir https://mathsdunordest.blogspot.com/2020/04/

le glébeux

Christianisme [Unitarien]
Christianisme [Unitarien]
Messages : 644
Enregistré le : 16 févr.18, 13:12
Réponses : 0

Re: ne pas confondre "bon en maths" et "intelligent"

Ecrit le 10 juin19, 05:14

Message par le glébeux »

bah... en te regardant, je m'en doutais un peu. Tu es très bon en maths..... (chante)


*sort en courant ------->[]

'mazalée'

[ Aucun rang ]
Avatar du membre
[ Aucun rang ]
Messages : 4143
Enregistré le : 06 mars19, 08:15
Réponses : 0

Re: ne pas confondre "bon en maths" et "intelligent"

Ecrit le 10 juin19, 05:23

Message par 'mazalée' »

Il y a me semble t-il une différence entre l'intelligence et la sensibilité ou l'humanité. On voit par exemple des gens justes et humains qui ne sont pas foutu de décrocher un examen élémentaire. D'autres qui résolvent toutes les équations possibles et imaginables tout en étant froids comme la banquise.

Il paraît que les femmes sont moins bonnes en math que les hommes, et bien il est rare de voir une femme tortionnaire ou sérial killeuse. Par contre il paraît aussi que dans les vendettas corses les plus enclines à aiguillonner les hommes du clan pour qu'ils se vengent d'un truc qu'ils ont eux même oublié, ce sont les femmes (voir Mérimée).

Conclusion : l'intelligence c'est pour les maths (ça oui) mais pour être bénéfique ou nocif en société, l'intelligence est secondaire. Sans être inutile pour autant, car l'intelligence du coeur couplé à l'intelligence du cerveau ça fait des merveilles. Je dirais que c'est idéal (voir ton ex :) )
Chaque jour suffit.

prisca

[ Aucun rang ]
Avatar du membre
[ Aucun rang ]
Messages : 36741
Enregistré le : 25 oct.16, 06:41
Réponses : 2

Re: ne pas confondre "bon en maths" et "intelligent"

Ecrit le 10 juin19, 05:32

Message par prisca »

sibira,

Comment était Einstein du point de vue de son caractère ?

Mais c'est un super sujet que tu nous donnes là parce que, est ce que la rigueur mathématique se conjugue avec la rigueur dans le comportement ?

Mais est ce qu'on peut être rigoriste dans le comportement mais à sa manière ? A savoir, tromper sa petite amie avec une autre petite amie est ce que ce n'est pas du domaine de la pulsion ?

Et est ce que les pulsions ne sont pas le propre de l'homme ?

Peut on porter jugement ?

S'il demande pardon à sa petite amie qui va devoir partir là il est dans les clous, mais s'il ne le fait pas, c'est qu'au fond il ne l'aime pas et s'il ne l'aime pas, il va devoir se sacrifier pour un amour inexistant ?

Il n'y a pas de fumée sans feu, s'il cherche ailleurs c'est qu'il n'a pas chez lui celle qui semble briller comme un astre.

Les maths n'y sont pour rien, un homme intelligent est mu de sentiments.

Et le sentiment d'amour il ne se commande pas, il ne s'explique pas, il n'y a aucun axiome pour en délimiter les contours.
Sur le plan humain si tu défends des gens qui salissent le Nom de D.IEU tu te confrontes donc à D.IEU (facile à comprendre)
Les prêtres catholiques, s'ils avaient été honorables envers l'ETERNEL, donnant donnant, ils auraient été désinhibés de toutes leurs pulsions perverses dévastatrices.

sibira

[ Aucun rang ]
Avatar du membre
[ Aucun rang ]
Messages : 2047
Enregistré le : 28 juin18, 04:50
Réponses : 1

Re: ne pas confondre "bon en maths" et "intelligent"

Ecrit le 10 juin19, 05:34

Message par sibira »

oui c'est exact 'Mazalée'

En ce qui me concerne être froid comme la banquise m'est plus profitable que l'intelligence du cœur qui ne sert strictement à rien quand on considère que les humains sont des gens à problèmes par nature

Staline (mon maître spirituel) disait si les hommes sont un problème, eh bien éliminons le problème!

après toute la question est de faire un choix et de s'y tenir et non pas de manger dans les deux rateliers : celui des humains et celui des machines
Cliquer sur les images du lien pour agrandir https://mathsdunordest.blogspot.com/2020/04/

'mazalée'

[ Aucun rang ]
Avatar du membre
[ Aucun rang ]
Messages : 4143
Enregistré le : 06 mars19, 08:15
Réponses : 0

Re: ne pas confondre "bon en maths" et "intelligent"

Ecrit le 10 juin19, 05:50

Message par 'mazalée' »

sibira a écrit : 10 juin19, 05:34 oui c'est exact 'Mazalée'

En ce qui me concerne être froid comme la banquise m'est plus profitable que l'intelligence du cœur qui ne sert strictement à rien quand on considère que les humains sont des gens à problèmes par nature
Si tu peux te suffire à toi même il vaut mieux en effet être froid comme la banquise. Et je dirais même "la chance". Quand on est bienheureux dans l'univers des maths qui je m'en rend compte à l'instant doit avoir quelque chose à voir avec l'univers véritable, on est bienheureux tout court. Les matheux sont bien les plus heureux des hommes.
Staline (mon maître spirituel) disait si les hommes sont un problème, eh bien éliminons le problème!

après toute la question est de faire un choix et de s'y tenir et non pas de manger dans les deux rateliers : celui des humains et celui des machines
Donc d'après toi Staline qui était une machine a mangé dans le râtelier humain. Du coup c'est les autres qui en ont pâti. Quand on a le pouvoir absolu, c'est pratique d'éliminer tout ce qui nous nuit, mais quand on ne l'a pas ? On se dit alors qu'il vaut mieux être une machine dans le monde des machines.

Le choix est mince...
Chaque jour suffit.

sibira

[ Aucun rang ]
Avatar du membre
[ Aucun rang ]
Messages : 2047
Enregistré le : 28 juin18, 04:50
Réponses : 1

Re: ne pas confondre "bon en maths" et "intelligent"

Ecrit le 10 juin19, 05:56

Message par sibira »

Certes Staline a mangé dans le ratelier des humains (la politique c'est fait pour les humains)

après le choix n'est pas mince je dirais plutôt qu'il est bien tranché

d'un côté choisir le monde des choses pas très nettes et de l'autre choisir le monde des choses très claires et quand on mélange les deux ça peut faire un truc monstrueux
Cliquer sur les images du lien pour agrandir https://mathsdunordest.blogspot.com/2020/04/

dragon blanc

[ Aucun rang ]
Avatar du membre
[ Aucun rang ]
Messages : 1142
Enregistré le : 08 nov.18, 08:30
Réponses : 0

Re: ne pas confondre "bon en maths" et "intelligent"

Ecrit le 10 juin19, 05:59

Message par dragon blanc »

Bonjour à vous Sibira.

Les Maths sont un outil à qui veulent bien les utiliser adéquatement.
L'intelligence, lui, se situe dans plusieurs sphères.
Celui qui apprend par coeur ne devient pas intelligent ! Même s'il connait toutes les formules de math !
L'intelligence se situe dans ce que l'on fait de nos connaissance et de ce que nous pouvons accomplir !
Dans notre société, il est dommage de constater ceci ; l'intelligence est souvent relier ou attribué à ceux qui maîtrise les maths ou tout autre formule de calcule qui tend vers l'assouvissement.
Celle,(L'intelligence), qui se situe en harmonie entre l'émotion et l'intellect est la plus juste et la plus honorable.
De quoi, vue notre société, l'intelligence se doit d'être porté vers un schéma de calcul au lieux de se situer dans l'accomplissement !

Merci pour ce partage et bonne continuité à vous...


Bien à vous, Dragon blanc.

sibira

[ Aucun rang ]
Avatar du membre
[ Aucun rang ]
Messages : 2047
Enregistré le : 28 juin18, 04:50
Réponses : 1

Re: ne pas confondre "bon en maths" et "intelligent"

Ecrit le 10 juin19, 06:14

Message par sibira »

prisca a écrit : 10 juin19, 05:32 Et le sentiment d'amour il ne se commande pas, il ne s'explique pas, il n'y a aucun axiome pour en délimiter les contours.
c'est bien la preuve par quatre que ce sentiment fait de l'humain un esclave

La liberté possède deux jambes, dans la première il y a celle qui fait que le chemin n'est pas prévisible et dans la seconde il y a celle qui sait où aller car nul ne peut devenir le maître de quelqu'un d'imprévisible, mais l'angoisse gagne celui qui le scrute et c'est par une mort violente que se conclue la sentence
Avvakoum Petrovitch Kondratiev (Аввакум Петров Кондратьев)

brûlé vif pour hérésie
Cliquer sur les images du lien pour agrandir https://mathsdunordest.blogspot.com/2020/04/

prisca

[ Aucun rang ]
Avatar du membre
[ Aucun rang ]
Messages : 36741
Enregistré le : 25 oct.16, 06:41
Réponses : 2

Re: ne pas confondre "bon en maths" et "intelligent"

Ecrit le 10 juin19, 06:29

Message par prisca »

sibira,

J'entend bien mais à chaque problème, une solution.

La solution est :

Pourquoi les anthropologues s'évertuent à analyser soigneusement l'homme depuis son apparition, et puis s'arrêtent en si bon chemin ?

Parce que, qu'est ce qui leur dit à ces anthropologues qu'ils sont face à "un homme qui a fini son évolution" ?

Je te dis cela, car le summum chez l'homme c'est justement de ne plus appartenir à l'humain, il est déjà un "esprit" doté de 2 jambes qui savent très bien cheminer en osmose.

Il suffit juste que les anthropologues lisent la Bible ou alors s'ils veulent, je peux me prêter à l'exercice Lucie car ils seront surpris lorsque je soulèverais les montagnes devant leurs yeux ébahis.
Sur le plan humain si tu défends des gens qui salissent le Nom de D.IEU tu te confrontes donc à D.IEU (facile à comprendre)
Les prêtres catholiques, s'ils avaient été honorables envers l'ETERNEL, donnant donnant, ils auraient été désinhibés de toutes leurs pulsions perverses dévastatrices.

'mazalée'

[ Aucun rang ]
Avatar du membre
[ Aucun rang ]
Messages : 4143
Enregistré le : 06 mars19, 08:15
Réponses : 0

Re: ne pas confondre "bon en maths" et "intelligent"

Ecrit le 10 juin19, 06:48

Message par 'mazalée' »

sibira a écrit : 10 juin19, 05:56 Certes Staline a mangé dans le ratelier des humains (la politique c'est fait pour les humains)

après le choix n'est pas mince je dirais plutôt qu'il est bien tranché

d'un côté choisir le monde des choses pas très nettes et de l'autre choisir le monde des choses très claires et quand on mélange les deux ça peut faire un truc monstrueux
Le choix est tranché, mais qui a dit qu'un choix tranché n'est pas mince ?

Imagine que Staline soit tombé sur un Napoléon en herbe russe qui ne serait pas fait éliminé aussi facilement et aurait même pris sa place en l'éliminant. Ou que Béria tout à coup se soir retourné contre lui suite à une illumination. Bon c'est sûr qu'en semant la terreur ça ne facilite pas les vocations mais Staline lui-même est arrivé à son poste en cravachant dur. Et la preuve que cela n'a pas dû être facile, il était paranoïaque au dernier degré à la fin de sa vie.

Finalement je me demande si ces humains sans âme qui se comportent comme des machines dans le monde des hommes (qui est un nid à problèmes) sont tant que ça à admirer. Fusse pour leur insensibilité record.
Chaque jour suffit.

sibira

[ Aucun rang ]
Avatar du membre
[ Aucun rang ]
Messages : 2047
Enregistré le : 28 juin18, 04:50
Réponses : 1

Re: ne pas confondre "bon en maths" et "intelligent"

Ecrit le 10 juin19, 07:08

Message par sibira »

'mazalée' a écrit : 10 juin19, 06:48 Finalement je me demande si ces humains sans âme qui se comportent comme des machines dans le monde des hommes (qui est un nid à problèmes) sont tant que ça à admirer. Fusse pour leur insensibilité record.
moi je les aime bien (ils sont efficaces en tout cas)

Regarde Staline il a fait d'un pays sous développé une nation qui possède l'arme nucléaire (et pas n'importe laquelle une arme thermonucléaire et regarde ils ont été les premiers à faire que cette arme fonctionne à température ambiante)

la première arme thermonucléaire américaine fonctionnait à l'hydrogène liquide (certes ils ont bien été les premiers mais ils n'ont pas grand mérite : l'arme était américaine)

mais par contre je n'aime pas Béria car en 54 il était prêt à donner la RDA à l'Allemagne (heureusement il s'ait fait bouziller)

(quand j'ai appris ça, ça m'a fait un choc)

________________________________

Prisca regarde ce lien c'est Maurice Godelier (ça t'interessera peut être)

https://www.youtube.com/watch?v=3J31Fqkz8cc
Cliquer sur les images du lien pour agrandir https://mathsdunordest.blogspot.com/2020/04/

Répondre
  • Sujets similaires
    Réponses
    Vues
    Dernier message

Retourner vers « GÉNÉRAL Libre »

Qui est en ligne

Utilisateurs parcourant ce forum : Google, meta et 4 invités