Babillard de sibira
- J'm'interroge
- [ Incroyant ]
- [ Incroyant ]
- Messages : 13278
- Enregistré le : 02 sept.13, 23:33
Re: Classe propre
Ecrit le 06 juil.19, 00:32Merci pour ce sujet sibira.
J'ajoute qu'un tout Peut être défini comme étant toujours un ensemble ou bien une classe propre, mais que "le Tout" est une désignation, non une définition, au mieux ce n'est donc qu'une notion floue qui ne trouve aucune formulation logique consistante (non contradictoire).
L'erreur de MLP est de croire pouvoir formellement inférer des vérités à partir d'une notion floue.
Ce qui n'est pas clairement défini et de façon à ne laisser aucune place ni à l'interprétation, ni à la contradiction, n'a aucune valeur en logique.
J'ajoute qu'un tout Peut être défini comme étant toujours un ensemble ou bien une classe propre, mais que "le Tout" est une désignation, non une définition, au mieux ce n'est donc qu'une notion floue qui ne trouve aucune formulation logique consistante (non contradictoire).
L'erreur de MLP est de croire pouvoir formellement inférer des vérités à partir d'une notion floue.
Ce qui n'est pas clairement défini et de façon à ne laisser aucune place ni à l'interprétation, ni à la contradiction, n'a aucune valeur en logique.
- La réalité est toujours beaucoup plus riche et complexe que ce que l'on peut percevoir, se représenter, concevoir, croire ou comprendre.
- Nous ne savons pas ce que nous ne savons pas.
Humilité !
- Toute expérience vécue résulte de choix. Et tout choix produit son lot d'expériences vécues.
Sagesse !
- Nous ne savons pas ce que nous ne savons pas.
Humilité !
- Toute expérience vécue résulte de choix. Et tout choix produit son lot d'expériences vécues.
Sagesse !
Re: la douceur de vivre des athées
Ecrit le 06 juil.19, 21:19Je vois vraiment pas le rapport entre la logique des math et l'athéisme. Je dirai même que c'est totalement indépendant !
Et puis y a des croyants qui sont bien plus à l'aise avec les maths que les athées, ce qui ne leur empêche pas de croire.
Je vois pas en quel honneur tu associes le fait d'être athée a un travail de logique mathématiques ...
Il ne s'agit que d'une perception du monde sans Dieu, tout comme le croyant perçoit a sa manière un monde érigé par un créateur.
Et puis y a des croyants qui sont bien plus à l'aise avec les maths que les athées, ce qui ne leur empêche pas de croire.
Je vois pas en quel honneur tu associes le fait d'être athée a un travail de logique mathématiques ...
Il ne s'agit que d'une perception du monde sans Dieu, tout comme le croyant perçoit a sa manière un monde érigé par un créateur.
Re: relations contre intuitives mais vitales
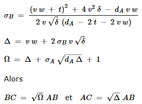
Ecrit le 09 juil.19, 10:53Encore un truc pas très intuitif
c'est un joli problème de géométrie
un peu différent de ce qu'on trouve sur le sujet
et on a l'impression d'avoir des données manquantes:
mais en fait non et la solution du problème est unique




c'est un joli problème de géométrie
un peu différent de ce qu'on trouve sur le sujet
et on a l'impression d'avoir des données manquantes:
mais en fait non et la solution du problème est unique




Cliquer sur les images du lien pour agrandir https://mathsdunordest.blogspot.com/2020/04/
Re: Classe propre
Ecrit le 09 juil.19, 13:21Oui il est bon de le préciserJ'm'interroge a écrit : 06 juil.19, 00:32 J'ajoute qu'un tout Peut être défini comme étant toujours un ensemble ou bien une classe propre, mais que "le Tout" est une désignation, non une définition, au mieux ce n'est donc qu'une notion floue qui ne trouve aucune formulation logique consistante (non contradictoire).
Pour le reste j'aurais bien aimé savoir ce qu'en aurait pensé Spinoza (à propos des classes propres) il aurait certainement modifié un peu son ensemble des attributs
Personnellement je trouve bizarre qu'aucun spécialiste de Spinoza ait pensé refaire sa copie compte tenu de cela (je ne suis pas qualifié pour le faire et de plus je ne me sent pas concerné par le besoin de le faire )
Cela ne signifie en rien que le travail de Spinoza n'est pas bon , cela signifie juste qu'il serait bien que quelqu'un de contemporain revisite (et modifie) un peu ce qu'il a fait
Mais voilà il semble que Spinoza soit revenu à la mode sans que derrière il y ait un vrai travail de recherche et il ne faut pas chercher bien loin le coupable de cela : c'est Emmanuel Macron c'est Luc Ferry c'est François Xavier Bellamy
Mais Emmanuel Macron a des excuses que les deux autres n'ont pas : j'ai d'ailleurs été surpris récemment par son intelligence (celle de Macron) qui est très remarquable pour un homme ou une femme du commun (c'est à dire un individu lambda ) : oui il connait bien Spinoza (certainement aussi bien que la plupart des spécialistes) et pourtant c'est un type comme vous et moi c'est à dire un type dont le métier n'est pas de réfléchir sur des problèmes de philosophie (ce qui est normal puisqu'il est banquier de formation)
À la limite je n'ai aucun reproche à faire à Macron (après tout il n'est pas philosophe de métier: il ne fait pas d'argent en vendant des livres de philosophie et n'est pas non plus chercheur ou professeur de philosophie) mais par contre je suis dégouté par le je-m'en-foutisme de ceux dont le métier passe par la connaissance de Spinoza (je pense plus particulièrement à Luc Ferry ou Bellamy : ceux-ci n'ont toujours pas compris qu'écrire un livre sur la philosophie et parler de Spinoza oblige à une certaine honnêteté intellectuelle )
Cliquer sur les images du lien pour agrandir https://mathsdunordest.blogspot.com/2020/04/
- J'm'interroge
- [ Incroyant ]
- [ Incroyant ]
- Messages : 13278
- Enregistré le : 02 sept.13, 23:33
Re: Classe propre
Ecrit le 09 juil.19, 20:16Il y a tellement à revoir dans tout ce qui a été écrit en philo... Mais tu as raison : ceux dont le métier est de commenter des philosophes mais qui manquent pour ce faire des compétences nécessaires en mathématique, en science et principalement en logique, feraient mieux de trouver une autre activité, car ces individus donnent une très mauvaise image de la philo chez des personnes qui seraient beaucoup plus en capacité pour en faire, mais qui ne sont pas philosophe de métier.
- La réalité est toujours beaucoup plus riche et complexe que ce que l'on peut percevoir, se représenter, concevoir, croire ou comprendre.
- Nous ne savons pas ce que nous ne savons pas.
Humilité !
- Toute expérience vécue résulte de choix. Et tout choix produit son lot d'expériences vécues.
Sagesse !
- Nous ne savons pas ce que nous ne savons pas.
Humilité !
- Toute expérience vécue résulte de choix. Et tout choix produit son lot d'expériences vécues.
Sagesse !
- L'hermite pas net
- Nouveau

- Nouveau

- Messages : 3
- Enregistré le : 29 juin19, 23:04
Re: vérités de Jean Benabou
Ecrit le 09 juil.19, 23:44'' Aujourd'hui les scientifiques ont substitués les mathématiques aux expériences, Alors ils errent d'équation en équation, créant éventuellement une structure qui n'a aucun lien avec la réalité.''
'' Si vous voulez trouver les secrets de l'univers, pensez en termes d'énergie, de fréquence, d'information et de vibration.'' Nicolas Tesla
Tout est dit..
'' Si vous voulez trouver les secrets de l'univers, pensez en termes d'énergie, de fréquence, d'information et de vibration.'' Nicolas Tesla
Tout est dit..
Re: vérités de Jean Benabou
Ecrit le 10 juil.19, 14:41Jean Benabou n'a jamais prétendu être physicien mais mathématicien et chacun sait que les maths ne sont pas une science mais un langageL'hermite pas net a écrit : 09 juil.19, 23:44 '' Aujourd'hui les scientifiques ont substitués les mathématiques aux expériences, Alors ils errent d'équation en équation, créant éventuellement une structure qui n'a aucun lien avec la réalité.''
'' Si vous voulez trouver les secrets de l'univers, pensez en termes d'énergie, de fréquence, d'information et de vibration.'' Nicolas Tesla
Tout est dit..
Les problèmes des scientifiques ne regardent que les scientifiques et en général leurs problèmes n'empêchent pas les mathématiciens de vivre
Dans ce cas pourquoi passez vous votre temps, votre énergie à vous en prendre à ceux qui ne sont en rien coupable de vos problèmes matérialistes ?
On devine bien que le problème des physiciens est le votre aussi puisque ce que vous attendez du progrès de la physique c'est la technologie qui peut en découler
En plus de ça vous vous faites passer pour des "anges" en disant que ce qui est important est de découvrir les secrets de l'univers
On aurait presque envie de pleurer (ou d'éclater de rire) sachant que tout ce qui vous intéresse en fait ce n'est pas de découvrir les secrets de l'univers mais plutôt la technologie que l'on pourrait mettre au point afin de continuer à faire ce que vous avez toujours fait :
La technologie n'est qu'au service du capitalisme et on sent bien que si la technologie vous permettrait d'aller conquérir d'autres planètes vous le feriez sans aucun états d'âmes
Non content d'avoir saccagé la Terre vous rêvez d'en saccager d'autres (de la même manière que vous avez colonisé les Amériques et instauré l'esclavage à grande échelle)
On vous connait par cœur et c'est la raison pour laquelle vous allez crever sur votre planète car vous n'irez pas plus loin que sur la lune
Vous avez saccagés la Terre eh bien maintenant démerdez vous!
Cliquer sur les images du lien pour agrandir https://mathsdunordest.blogspot.com/2020/04/
- dragon blanc
- [ Aucun rang ]
- [ Aucun rang ]
- Messages : 1143
- Enregistré le : 08 nov.18, 08:30
Re: vérités de Jean Benabou
Ecrit le 10 juil.19, 15:17Intéressant ! Bravo sibirasibira a écrit : 10 juil.19, 14:41 Jean Benabou n'a jamais prétendu être physicien mais mathématicien et chacun sait que les maths ne sont pas une science mais un langage
Les problèmes des scientifiques ne regardent que les scientifiques et en général leurs problèmes n'empêchent pas les mathématiciens de vivre
Dans ce cas pourquoi passez vous votre temps, votre énergie à vous en prendre à ceux qui ne sont en rien coupable de vos problèmes matérialistes ?
On devine bien que le problème des physiciens est le votre aussi puisque ce que vous attendez du progrès de la physique c'est la technologie qui peut en découler
En plus de ça vous vous faites passer pour des "anges" en disant que ce qui est important est de découvrir les secrets de l'univers
On aurait presque envie de pleurer (ou d'éclater de rire) sachant que tout ce qui vous intéresse en fait ce n'est pas de découvrir les secrets de l'univers mais plutôt la technologie que l'on pourrait mettre au point afin de continuer à faire ce que vous avez toujours fait :
La technologie n'est qu'au service du capitalisme et on sent bien que si la technologie vous permettrait d'aller conquérir d'autres planètes vous le feriez sans aucun états d'âmes
Non content d'avoir saccagé la Terre vous rêvez d'en saccager d'autres (de la même manière que vous avez colonisé les Amériques et instauré l'esclavage à grande échelle)
On vous connait par cœur et c'est la raison pour laquelle vous allez crever sur votre planète car vous n'irez pas plus loin que sur la lune
Vous avez saccagés la Terre eh bien maintenant démerdez vous!
Re: vérités de Jean Benabou
Ecrit le 10 juil.19, 18:53C' est bien la première fois que je lis un texte gauchiste intéressant 
- J'm'interroge
- [ Incroyant ]
- [ Incroyant ]
- Messages : 13278
- Enregistré le : 02 sept.13, 23:33
Re: vérités de Jean Benabou
Ecrit le 10 juil.19, 20:41Quand tu t'arrêtes de faire des maths (est-ce que c'est vrai ???), le monde gagne un philosophe qui vaut le détour.sibira a écrit : 10 juil.19, 14:41 Jean Benabou n'a jamais prétendu être physicien mais mathématicien et chacun sait que les maths ne sont pas une science mais un langage
Les problèmes des scientifiques ne regardent que les scientifiques et en général leurs problèmes n'empêchent pas les mathématiciens de vivre
Dans ce cas pourquoi passez vous votre temps, votre énergie à vous en prendre à ceux qui ne sont en rien coupable de vos problèmes matérialistes ?
On devine bien que le problème des physiciens est le votre aussi puisque ce que vous attendez du progrès de la physique c'est la technologie qui peut en découler
En plus de ça vous vous faites passer pour des "anges" en disant que ce qui est important est de découvrir les secrets de l'univers
On aurait presque envie de pleurer (ou d'éclater de rire) sachant que tout ce qui vous intéresse en fait ce n'est pas de découvrir les secrets de l'univers mais plutôt la technologie que l'on pourrait mettre au point afin de continuer à faire ce que vous avez toujours fait :
La technologie n'est qu'au service du capitalisme et on sent bien que si la technologie vous permettrait d'aller conquérir d'autres planètes vous le feriez sans aucun états d'âmes
Non content d'avoir saccagé la Terre vous rêvez d'en saccager d'autres (de la même manière que vous avez colonisé les Amériques et instauré l'esclavage à grande échelle)
On vous connait par cœur et c'est la raison pour laquelle vous allez crever sur votre planète car vous n'irez pas plus loin que sur la lune
Vous avez saccagés la Terre eh bien maintenant démerdez vous!
"Que nul n'entre ici s'il n'est géomètre."
(Gravée à l'entrée de l'Académie, l'école fondée à Athènes par Platon.)
.
- La réalité est toujours beaucoup plus riche et complexe que ce que l'on peut percevoir, se représenter, concevoir, croire ou comprendre.
- Nous ne savons pas ce que nous ne savons pas.
Humilité !
- Toute expérience vécue résulte de choix. Et tout choix produit son lot d'expériences vécues.
Sagesse !
- Nous ne savons pas ce que nous ne savons pas.
Humilité !
- Toute expérience vécue résulte de choix. Et tout choix produit son lot d'expériences vécues.
Sagesse !
Re: vérités de Jean Benabou
Ecrit le 11 juil.19, 01:49Et chacun en te lisant s'exclue de cette mentalité et culte de la supériorité spirituelle et morale qui demeure la voie de la transcendance humaine. Même une émission scientifique comme " découverte" parle de conquête de l'espace plutôt que de exploration spatiale. Le fait cosmique tremble de peur devant cette future conquête terrienne.a écrit :On devine bien que le problème des physiciens est le votre aussi puisque ce que vous attendez du progrès de la physique c'est la technologie qui peut en découler
En plus de ça vous vous faites passer pour des "anges" en disant que ce qui est important est de découvrir les secrets de l'univers
On aurait presque envie de pleurer (ou d'éclater de rire) sachant que tout ce qui vous intéresse en fait ce n'est pas de découvrir les secrets de l'univers mais plutôt la technologie que l'on pourrait mettre au point afin de continuer à faire ce que vous avez toujours fait :
La technologie n'est qu'au service du capitalisme et on sent bien que si la technologie vous permettrait d'aller conquérir d'autres planètes vous le feriez sans aucun états d'âmes
Non content d'avoir saccagé la Terre vous rêvez d'en saccager d'autres (de la même manière que vous avez colonisé les Amériques et instauré l'esclavage à grande échelle)
On vous connait par cœur et c'est la raison pour laquelle vous allez crever sur votre planète car vous n'irez pas plus loin que sur la lune
Vous avez saccagés la Terre eh bien maintenant démerdez vous
Matérialisme et spiritualisme. Le matérialisme inégal et colonial.
Parfois "avoir l'esprit ouvert " est un manque de discernement. La lumière s'enfuit plus vite qu'elle n'y entre! 
Je n'ai rien contre la foi. C'est juste que la mauvaise foi l'emporte trop souvent sur la bonne foi!
En vérité je vous le dis : Jésus était un humain parmi les surhumains!
Je n'ai rien contre la foi. C'est juste que la mauvaise foi l'emporte trop souvent sur la bonne foi!
En vérité je vous le dis : Jésus était un humain parmi les surhumains!
Re: relations contre intuitives mais vitales
Ecrit le 11 juil.19, 02:11NB : Attention (je précise cela car tel que l'énoncé est écrit cela pourrait passer pour une chose peu importante alors que c'est très important)
pour que cette solution soit valable l'énoncé dit bien que le l'aire du carré bleu doit être supérieure à celle du carré vert
Dans le cas contraire il faut effectuer une permutation adéquate entre les points A,B,C
et il dit aussi que les aires des trois carrés sont toutes non nulles et distinctes deux à deux : dans le cas contraire cela correspond au problème pour un triangle isocèle "ou non exclusif" rectangle, problème qui se solve plus aisément mais autrement car la division par zéro est interdite(dans le cas particulier où les aires des deux carrés bleu et vert sont égales on ne peut pas utiliser cette solution)
pour que cette solution soit valable l'énoncé dit bien que le l'aire du carré bleu doit être supérieure à celle du carré vert
Dans le cas contraire il faut effectuer une permutation adéquate entre les points A,B,C
et il dit aussi que les aires des trois carrés sont toutes non nulles et distinctes deux à deux : dans le cas contraire cela correspond au problème pour un triangle isocèle "ou non exclusif" rectangle, problème qui se solve plus aisément mais autrement car la division par zéro est interdite(dans le cas particulier où les aires des deux carrés bleu et vert sont égales on ne peut pas utiliser cette solution)
Cliquer sur les images du lien pour agrandir https://mathsdunordest.blogspot.com/2020/04/
Darius contre-attaque
Ecrit le 12 juil.19, 01:38… un peu de brutalité en moins c'est pas plus mal dans l'univers extérieur à l'Empire de Darius
(je désapprouve mais l'empire de Darius contre-attaque)
Darius "Vanyll"
https://www.youtube.com/watch?v=Iiqh43ptlX0
(je désapprouve mais l'empire de Darius contre-attaque)
Darius "Vanyll"
https://www.youtube.com/watch?v=Iiqh43ptlX0
Cliquer sur les images du lien pour agrandir https://mathsdunordest.blogspot.com/2020/04/
Re: Classe propre
Ecrit le 12 juil.19, 02:45Dans le même temps et même si j'ai envie de devenir très très mignon avec Monsieur Macron en ne le critiquant pas car il n'est pas philosophe et qu'il n'est pas coupable d'avoir prétendu cela car oui ce genre d'envie s'inspire de la pitié (et oui ça m'arrive d'éprouver ce sentiment)J'm'interroge a écrit : 09 juil.19, 20:16 Il y a tellement à revoir dans tout ce qui a été écrit en philo... Mais tu as raison : ceux dont le métier est de commenter des philosophes mais qui manquent pour ce faire des compétences nécessaires en mathématique, en science et principalement en logique, feraient mieux de trouver une autre activité, car ces individus donnent une très mauvaise image de la philo chez des personnes qui seraient beaucoup plus en capacité pour en faire, mais qui ne sont pas philosophe de métier.
quand Houellebecq dit que l'état a reussit à assassiner Lambert (alors même que ce grand monsieur n'est pas non plus philosophe) : il accuse Macron de n'avoir rien fait et en cela il a raison
Monsieur Houellebecq est intelligent quand il dit que l'on ne connait rien sur l'état de quelqu'un comme Lambert (avant sa mort) car la connaissance de sa propre ignorance est la première leçon que l'on se doit de connaitre en philosophie (et d'en tirer toutes les conséquences qui en découlent)
Cliquer sur les images du lien pour agrandir https://mathsdunordest.blogspot.com/2020/04/
- J'm'interroge
- [ Incroyant ]
- [ Incroyant ]
- Messages : 13278
- Enregistré le : 02 sept.13, 23:33
Re: Classe propre
Ecrit le 12 juil.19, 02:49Entièrement d'accord.sibira a écrit : 12 juil.19, 02:45...] la connaissance de sa propre ignorance est la première leçon que l'on se doit de connaitre en philosophie (et d'en tirer toutes les conséquences qui en découlent)
- La réalité est toujours beaucoup plus riche et complexe que ce que l'on peut percevoir, se représenter, concevoir, croire ou comprendre.
- Nous ne savons pas ce que nous ne savons pas.
Humilité !
- Toute expérience vécue résulte de choix. Et tout choix produit son lot d'expériences vécues.
Sagesse !
- Nous ne savons pas ce que nous ne savons pas.
Humilité !
- Toute expérience vécue résulte de choix. Et tout choix produit son lot d'expériences vécues.
Sagesse !
-
- Sujets similaires
- Réponses
- Vues
- Dernier message
Qui est en ligne
Utilisateurs parcourant ce forum : prisca et 2 invités